Just a quick post to collate together some of the (Mainly A Level) things I have put together over the past few months.
Been posting to BlueSky and enjoying it!
Differentiation Starter
Just a fun little starter for my Year 13s to see what they could remember at the start of the year

Linear Interpolation VT
A few questions getting students to find Q1 Q2 Q3 from a grouped frequency table using Linear Interpolation

Parametric Equations VT
Gettings students to convert from Parametric to Cartesian using Trig Identities

Proving Quotient Rule

Graph Intersections
Using the discriminant (or other methods!) to find unknowns

Inverse Trig Functions

Cursed Triangle Formula

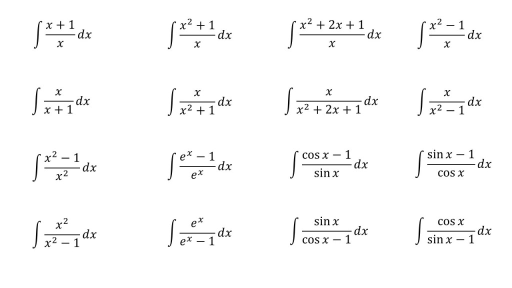
Integrals and their reciprocals!

Fun Fractions Questions

Reciprocal Trig Functions

Small Angle Approximations

Tricky Trig Integral Question

Double Angle Formula

Fun Binomial Expansion Qu

Tricky Chain Rule Questions


You must be logged in to post a comment.